
Certificate Memory Cash Collect su singole azioni godono di premi potenziali trimestrali dall’1,05% al 7,00% con effetto memoria e barriera a scadenza fino al 50% del valore iniziale del sottostante
BNP Paribas annuncia l’emissione di una nuova serie di certificate Memory Cash Collect su singole azioni con durata biennale. La nuova emissione offre premi potenziali con effetto memoria a cadenza trimestrale, pari ad un rendimento compreso tra l’1,05% (4,2% annuo) e il 7,00% (28% annuo) e, a scadenza, protezione del capitale nominale in caso di ribassi dell’azione sottostante fino al 50%.
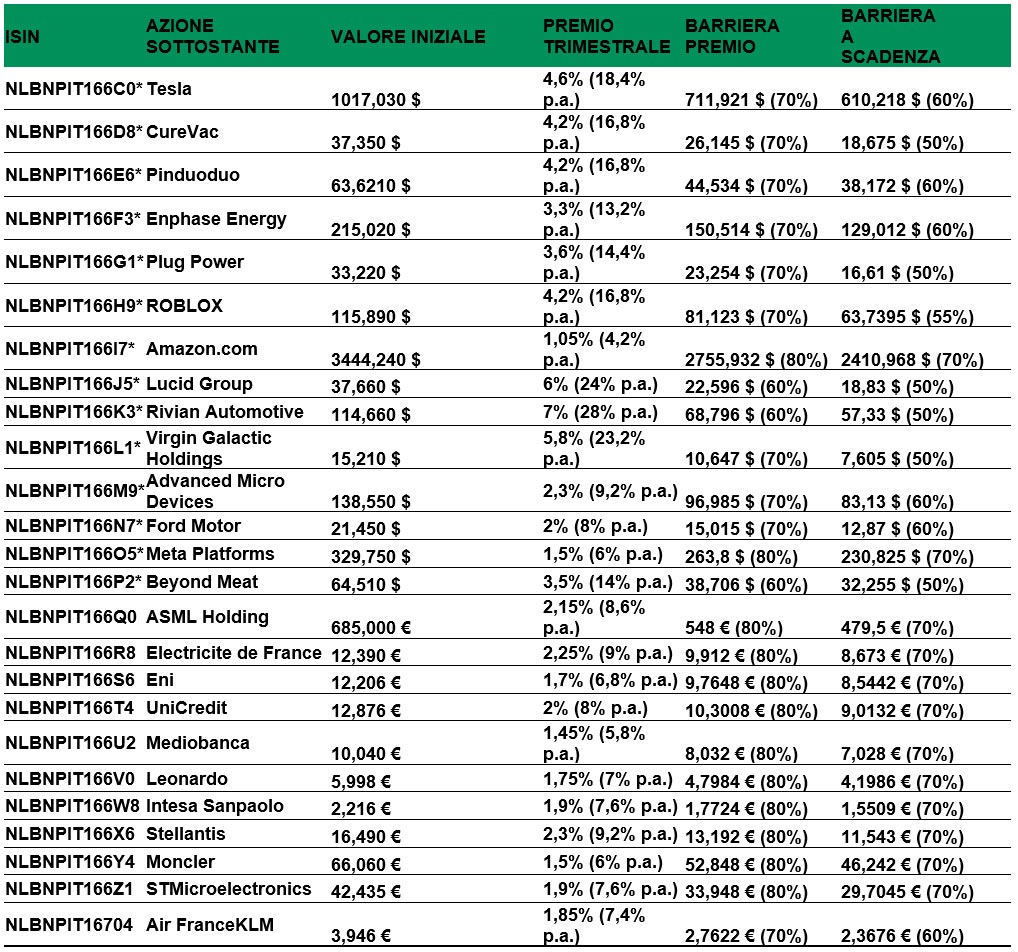
I nuovi Memory Cash Collect si distinguono per il sottostante che, dopo una serie di emissioni su panieri di titoli, torna in quest’emissione ad essere su singole azioni, europee ed americane, come ad esempio Tesla, Amazon, Meta Platforms, Beyond Meat, e alcune tra le maggiori società quotate italiane, quali Eni, UniCredit, Mediobanca, Leonardo, Intesa Sanpaolo, Stellantis, Moncler. Spicca inoltre la novità Rivian Automotive, società recentemente quotata al Nasdaq impegnata nello sviluppo della viabilità elettrica.
I nuovi Memory Cash Collect consentono di ottenere premi con effetto memoria nelle date di valutazione trimestrali anche nel caso di andamento negativo dell’azione sottostante, purché la quotazione dell’azione sia pari o superiore al livello Barriera Premio, che è compresa tra il 60% e l’80% del valore iniziale. Inoltre, a partire dal sesto mese di vita, i Certificate possono scadere anticipatamente se nelle date di valutazione trimestrali l’azione sottostante quota a un valore pari o superiore al suo valore iniziale. In questo caso l’investitore riceve, oltre al premio trimestrale, il Valore Nominale (100 Euro) oltre agli eventuali premi non pagati precedentemente (c.d. “effetto memoria”).
Se i Certificate arrivano a scadenza (11 dicembre 2023) si prospettano tre possibili scenari:
- se la quotazione dell’azione sottostante è pari o superiore al livello Barriera Premio, il Certificate rimborsa il Valore Nominale più il premio con effetto memoria;
- se la quotazione dell’azione sottostante è inferiore al livello Barriera Premio, ma pari o superiore al livello Barriera a Scadenza, il Certificate rimborsa il Valore Nominale;
- se la quotazione dell’azione sottostante è inferiore al livello Barriera a Scadenza, il Certificate paga un importo proporzionale alla performance negativa dell’azione sottostante (con conseguente perdita, parziale o totale, del capitale investito).
Ad esempio, il Memory Cash Collect su Tesla (ISIN: NLBNPIT166C0) paga un premio trimestrale del 4,6% (18,4% annuo) ad ogni data di valutazione intermedia in cui il valore dell’azione sottostante è maggiore o uguale al livello Barriera Premio, posta al 70% del valore iniziale del sottostante. Inoltre, a partire dal sesto mese di vita del prodotto, nel caso in cui in una delle date di valutazione trimestrali Tesla quoti a un valore uguale o superiore al valore iniziale (1.017,03$), il Certificate scade anticipatamente e, oltre al pagamento del premio, rimborsa anche il valore nominale (100€) e gli eventuali premi non pagati in precedenza, grazie all’Effetto Memoria.
Luca Comunian, Head of Distribution Marketing & Communication – Global Markets di BNP Paribas Corporate & Institutional Banking, ha così commentato il nuovo lancio:
“Siamo contenti di aver riportato sul mercato italiano una serie di Certificate con sottostanti singoli titoli azionari dopo le numerose emissioni su panieri di titoli proposte nel corso dell’anno. La gamma di Memory Cash Collect su singole azioni va a completare la nostra gamma di Certificate e ad introdurre alcune nuove società, come Rivian Automotive e Lucid Group, al fine di continuare a fornire soluzioni di market access ai nostri clienti.”.
Leggi anche: Dove investire e cosa sapere dei certificati di investimento “Certificates”
Di seguito la lista dei nuovi prodotti emessi sul mercato SeDeX di Borsa Italiana:
Certificate Memory Cash Collect su singole azioni
Il Certificate è uno strumento finanziario complesso
Info e contatti
Maggiori informazioni sulla gamma Cash Collect di BNP Paribas sono disponibili su https://investimenti.bnpparibas.it/certificates-investimento/cash-collect-certificate.
BNP Paribas Corporate & Institutional Banking
BNP Paribas è tra i principali emittenti di Certificate del panorama italiano. Grazie ad una presenza globale, BNP Paribas vanta una delle piattaforme di prodotto rivolta a clienti retail più evoluta al mondo. Il team, grazie alla sua pluriennale esperienza e alla profonda conoscenza del contesto locale, è in grado di fornire in tempi molto ridotti soluzioni di investimento su misura e in linea con le diverse condizioni di mercato, offrendo una gamma completa e diversificata di strategie, incluse strategie long-short e di copertura.



















